pg国际电子游戏app XGBoost算法-目标函数

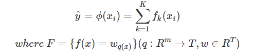
简单解释一下xgboost这个模型 xg是一个极为强大,极为受欢迎的机器学习模型,其最大的特色便是boosting(改进、推进),那该如何改进呢? , 。围绕xgboost算法,它会率先构建一棵简约的决策树,接着审视该决策树的预测成果,查看出现错报的具体方位,针对这些差错,予以某些改进举措,随后再次获取另——棵决策树,之后又去观察第二...
日期: 栏目:公司新闻 阅读:48

问鼎赏金女王pg官网入口下载 xgboost实例_机器学习算法梳理—XGBOOST

CART树 算法分类与回归树英文称Classfication And Regression Tree,其缩写为CART。CART算法运用二分递归分割技术,此次技术用于把当次所涉样本集划分成两个具有差异的子样本集,借此让所生成的每一个并非直接属于末梢部分具有枝丫的节点都拥有两个不同走向的分支。并非处于末梢方位具有枝丫的节点所对应的特征取值...
日期: 栏目:公司新闻 阅读:54

pg电子麻将胡了入口下载 一文读懂机器学习大杀器XGBoost原理

某种算法里的XGBoost这一存在,属于boosting算法当中的一种情况,boosting算法展现出这样的思索方式,即把众多的弱分类器进行整合,进而构建起一个强分类器,由于XGBoost属于一种提升树模型,所以它是把诸多的树模型予以整合,最终形成一个具备很强能力的分类器,而其中所运用到的树模型乃是CART回归树模型,讲述其原理之前,先对...
日期: 栏目:公司新闻 阅读:55

问鼎赏金女王pg官网入口下载 英派斯:领先的健身器材品牌厂商

2004年成立了这家公司www.pg.qq.com,它是一个健身器材品牌厂商,专门致力于针对全品类以及各种系列的健身器材,展开开发、制造、销售以及品牌化运营工作。 公司的自主品牌IMPULSE,现已拥有多条产品线,这些产品线在功能、价格方面存在差异化,涵盖室内有氧器械、室内力量器械,还有室外健身路径、笼式足球等各式产品,能够为健身俱乐部、...
日期: 栏目:公司新闻 阅读:61

pg国际电子游戏app 以0.2毫米精度 重新定义健身器材的质量标杆|走在前 挑大梁·产业链上的山东好品牌

体育用品制造产业链属于山东省重点产业链赏金女王pg破解版下载,全省范围内有143家规模以上体育用品制造企业,在2024年达成营收216.4亿元,其中商用健身器材、竞技体育器材、钓具等细分领域的市场占有率,稳稳占据全国首位。一同前往青岛英派斯健康科技股份有限公司,瞧瞧它怎样凭借极致精度以及柔性产线,塑造健身器材的质量标杆。 眼下,山东构建起...
日期: 栏目:公司新闻 阅读:67

pg电子麻将胡了入口下载 以0.2毫米精度 重新定义健身器材的质量标杆|走在前 挑大梁·产业链上的山东好品牌

山东省有这么一个重点产业链,它是体育用品制造产业链,全省范围内,有143家规模以上的体育用品制造企业,在2024年的时候,这些企业实现了营收216.4亿元,在商用健身器材、竞技体育器材、钓具等细分领域,其市场占有率稳稳地居于全国首位。现在,一起来到青岛英派斯健康科技股份有限公司,看看它怎样凭借极致精度以及柔性产线,去打造健身器材的质量标杆...
日期: 栏目:公司新闻 阅读:64

问鼎赏金女王pg官网入口下载 家用椭圆机有哪些好?家用椭圆机推荐【详解】

伴随时代不断向前发展,人们当下的生活不但获得了颇为显著的改善,且富贵病的数量也日益增多问鼎娱官网app下载入口,故而依据大家的需求,市场上的健身产品恰似科技那般呈现出迅猛异常的发展态势。往昔,通常得前往专门的健身场所周边方可开展锻炼活动。现今,运动机已然转变为可供家庭使用的类型了。家用椭圆机这一崭新的时代已经飞速地得以演进,然而面对市场上...
日期: 栏目:公司新闻 阅读:58

赏金女王pg破解版下载 2018年度中国健身器材行业十大品牌名单重磅揭晓!

国务院46号文件,也就是《关于加快发展体育行业促进体育消费的若干意见》,当中明确表述了,全民健身已然上升成为了国家战略,健身产业作为绿色且朝阳的产业必定会蓬勃地发展起来。健身器材是健身产业相当重要的一个组成部分,同样也将会迎来黄金发展的时期。 按照《中国体育用品产业发展白皮书》所呈现的数据来看,我国从事健身器材行业的企业数量处于逐年递...
日期: 栏目:公司新闻 阅读:76

免费qq黄钻网站大全下载 汕头瘦腰瘦肚子的健身操

汕头瘦腰瘦肚子的健身操及瘦腰瘦肚子的健身操视频 众多人的健身目标是瘦腰以及瘦肚子,然而不少人发觉,即便已然做了好多仰卧起坐,却并未达成理想成效。这是由于仰卧起坐仅是瘦腰瘦肚子的其中一种途径,要是想切实达成目标,就得综合运用多种运动方式。以下存在几种瘦腰瘦肚子的健身操,还有瘦腰瘦肚子的健身操视频,可供大家去参考。 汕头一,那个仰卧起坐可是...
日期: 栏目:公司新闻 阅读:64

pg国际电子游戏app 一个月涨粉千万!刘畊宏健身操,到底能不能减肥?

50岁的刘畊宏火了。 在这之前,他有着这样的标签,其一是“一身腱子肉”,其二是“周杰伦好友”,其三是“小泡芙的爸爸”,其四是“不知名却又极度眼熟的男明星”…… 打从他于上海开启居家隔离模式之后,一周之中有五天都会按时上线进行燃脂健身操的直播活动,如此这般使得他一下子就变成了直播领域里的那种“现象级”博主。那些伴随他一起跳健身操的女孩子也就...
日期: 栏目:公司新闻 阅读:70