pg电子麻将胡了 【每周三题】高一【38】匀变速直线运动规律应用
匀速直线运动定律的应用

【介绍】
匀变直线运动是大一物理中非常重要的运动形式,也是学生必须熟练掌握的基本运动形式。从速度的角度来看,只要做直线运动的质点的速度随时间均匀变化,那么这种运动就是匀速直线运动。从加速度的角度来看,直线运动质点只要加速度不变,就是匀速直线运动。从位移来看,只要做直线运动的质点在任意相邻的相等时间内位移的差值始终相同pg赏金大对决试玩版,那么这种运动就是匀速直线运动。
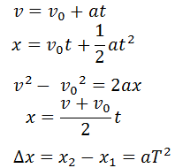
匀变速直线运动的主要定律是:

(匀变速直线运动中任意两个相邻连续等时间T期间,位移之差为常数)
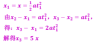
【问题】一个粒子从静止开始做匀加速直线运动。如果第 1 秒质点的位移为 x,则第 3 秒质点的位移是多少?
【分析】
这是匀变速直线运动定律的简单应用。只要学生能够正确区分第3秒和前3秒,就可以利用匀变速直线运动定律求出多个解。
方法一:基本公式法
假设质点匀速运动的加速度为a,前3s内的位移为
x3,

方法二:基本公式法
假设质点匀速运动的加速度为apg赏金女王单机版试玩平台,2s结束时或3s开始时的速度为v2,
基本规则是:

方法三:公式法推导
假设质点匀速运动的加速度为a,前3s内的位移为
x3,

方法四:平均速度法

方法五:比例法
初速度为0的匀加速直线运动在连续相等的时间内所经过的位移之比为

方法六:公式法推导

【思考】

【品鉴分析】
通过多角度深入剖析匀变速直线运动pg电子赏金试玩app,帮助学生深入透彻地理解核心概念,通过一题多解,培养学生灵活的理解能力、敏捷的思维能力和熟练的应用能力运用所学知识来分析和解决实际问题。真正提高学生的物理学科素养和物理学习能力。

欢迎投稿
邮箱:wlxxyjtg@126.com(物理学习研究投稿首字母)具体要求请参见“物理学习研究”公众号“交流与合作”下的“关于我们”或直接在官方回复投稿帐户,我们会将具体要求发送给您直接回复您!
审稿人:张春丽 史亚璞
鲁ICP备18019460号-4
我要评论